Jika tingkat risiko Investasi X dan Y adalah sama, maka Mr.A akan melakukan investasinya pada Produk investasi Y. Hal ini disebabkan pada tahun ke 5, nilai uang saat ini sebesar USD 6.000,- akan menjadi sebesar USD 8.771 pada Investasi Y, lebih tinggi dari pada Investasi X yang USD sebesar USD 8.650, atau terdapat selisih sebesar USD 121,- antara Investasi X dan Y pada tahun ke 5.
Hasil atau return yang tinggi menjadi faktor yang dipertimbangan bagi pada investor, akan tetapi penting untuk diingat bahwa tingkat imbal hasil (return) yang tinggi dari suatu investasi juga menggambarkan risiko yang dimiliki oleh suatu investasi. Sebagai contoh return saham dalam jangka pendek akan lebih tinggi daripada return obligasi, akan tetapi risiko penurunan harga saham yang dimiliki akan lebih tinggi dari pada penurunan obligasi. Bagi para investor defensive yang cenderung menghindari risiko penurunan nilai investasinya akan lebih tertarik pada investasi obligasi yang menawarkan tingkat pengembalian dibawah tingkat pengembalian saham, namun lebih memberikan rasa aman atas risiko penurunan yang signifikan atas nilai investasinya.
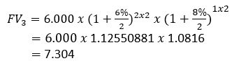
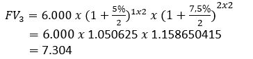
Selanjutnya, jika Investasi X dan Y masing-masing membayar bunga per semester dan Mr.A hanya ingin melakukan investasi selama 3 tahun, maka Mr.A akan melakukan perhitungan atas rencananya tersebut sebagai berikut;


Pada kasus ini, jika Mr.A hendak memilih investasinya. Seperti sebelumnya, Mr.A akan mempertimbangkan risk & return dari Investasi tersebut. Katakanlah nilai jika berinvestasi pada X dan Y sama sebesar USD 7.304, namun investasi X lebih volatile dari investasi B terhadap harga pasar. Terdapat kemungkinan besar bahwa Mr.A akan memilih investasi Y, jika ia adalaha tipe Investor defensive dan Mr.A akan memilih investasi X jika Ia merupakan tipe investor aggressive.
Rumus future value kemudian dapat diturunkan untuk memeroleh nilai uang saat ini (present value), dimana nilai uang dimasa depan akan dikalikan dengan present value factor selama periode perhitungan. Rumus present value, sebagai berikut;

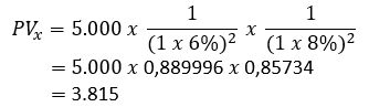
Kemudian terdapat suatu kejadian dimana Mr.A menargetkan untuk memeroleh uang sejumlah USD 5.000 pada tahun ke 4 dan Mr.A dihadapkan pada 2 tawaran Investasi X dan Y pada bunga yang sama dan bunga tersebut dibayarkan sekali setiap tahun seperti pada kasus terdahulu. Jika Mr.A ingin mengetahui jumlah uang yang harus diinvestasikan pada saat ini dan melakukan perhitungan sebagai berikut;


Berdasarkan nilai investasi X & Y pada saat ini dimana masing-masing sebesar USD 3.815 dan USD 3.745 dengan risiko yang mirip, maka kemungkinan besar Mr.A akan memilih berinvestasi pada Y. Â Pada investasi X, present value factor sebesar 0,763028498 dan nilai uang saat ini menjadi sebesar USD 3.815 dan pada investasi Y, present value factor sebesar 0,749059804 dan nilai uang saat ini menjadi sebesar USD 3.745, dengan kata lain semakin tinggi nilai present value factor maka biaya atau nilai uang saat ini yang akan digunakan untuk berinvestasi semakin besar.