Mohon tunggu...
Si Penulis
Si Penulis Mohon Tunggu... Writer

Hello there, I tried to make some article about business, finance and other interesting topics. Hope you all enjoy reading my article. Thank you. (Linked In: Jeins Pambo)

Selanjutnya

Tutup

Financial Pilihan

Time Value of Money (Part 01)

22 Agustus 2020   22:41 Diperbarui: 22 Agustus 2020   22:37 6126
+
Laporkan Konten
Laporkan Akun
Kompasiana adalah platform blog. Konten ini menjadi tanggung jawab bloger dan tidak mewakili pandangan redaksi Kompas.

Halo para pembaca, pada artikel kali ini kita akan membahas mengenai kita akan membahas mengenai beberapa konsep dalam dunia keuangan, salah satunya yaitu Time Value of Money .

Time Value of Money merupakan salah satu konsep keuangan yang sering kita termukan dalam kehidupan sehari-hari, terutama pada para akaedemisi dan praktisi keuangan serta masyarakat yang menggunakan jasa financial planner dalam merancang keuangan masa depannya.

Konsep Time Value of Money sendiri tidak terlepas dari beberapa fungsi uang yang sering dibahas di diterapkan dalam kehidupan nyata. Beberapa fungsi uang tersebut ,diantaranya:

  • Sebagai alat tukar dan satuan hitung. Fungsi ini merupakan fungsi utama dari uang dimana uang digunakan sebagai alat (medium) pengganti barang yang mempermudah pertukaran dan sebagai standar perhitungan nilai dari barang yang dipertukarkan. Sebagai contoh; dahulu masyarakat menggunakan barang pada system barter, akan tetapi seiring perkembangan jaman, masyarakat menggunakan uang sebagai alat tukar menggantikan barang pada saat transaksi. Dan uang digunakan sebagai satuan hitung atas harga atau nilai suatu barang.
  • Sebagai penyimpan Nilai. Uang dapat digunakan untuk menyimpan manfaat ekonomis yang diperoleh dan digunakan dimasa depan atau pada saat pemilik uang tersebut ingin menggunakannya. Sebagai contoh: Mr.A memiliki mobil dan menjual mobil tersebut serta memeroleh cash sebesar Rp 10.000.000,-. Cash/Uang tersebut memiliki manfaat ekonomis sebesar Rp 10.000.000,- dan dapat disimpan untuk dibelanjakan kembali dimasa depan atau untuk tujuan lainnya sesuai dengan keinginan pemilik.
  • Fungsi turunan lainnya diantaranya sebagai alat pembayaran yang sah yang digunakan oleh suatu negara contohnya mata uang Rupiah (Rp), sebagai salah satu pendorong kegiatan ekonomi  melalui peredaran uang  dan standar pencicilan hutang

Pertanyaan yang kemudian timbul yaitu mengapa kita harus direpotkan dengan nilai waktu dari uang???.  Hal ini berkaitan dengan salah satu fungsi uang yaitu sebagai penyimpan nilai (manfaat ekonomis), dimana jumlah uang yang sama akan lebih bernilai saat ini dibandingkan dimasa depan. Dengan kata lain bahwa uang sebesar Rp 10.000,- lebih berharga pada saat ini dari pada uang sebesar Rp10.000,- dimasa depan.

Pertanyaan selanjutnya yaitu mengapa nilai uang pada saat ini lebih berharga dari pada uang dimasa depan???. Terdapat 2 sudut pandang jawaban terkait pertanyaan ini yaitu (1) Faktor inflasi, dimana kenaikan harga barang menyebabkan daya beli uang dalam jumlah yang sama menjadi lebih kecil dan (2) Uang pada saat ini lebih bernilai karena uang tersebut dapat diinvestasikan dan memeroleh return dari investasi tersebut.

Nilai waktu dari uang pada saat ini maupun dimasa depan dapat kita ketahui melalui rumus Future Value dan Present Value, sebagai berikut;

Gambar 1: Future Value formula
Gambar 1: Future Value formula
Berdasarkan rumus diatas dapat dikatakan bahwa nilai uang yang akan diperoleh dimasa depan sebesar nilai uang saat ini yang diinvestasikan pada suatu tingkat bunga tertentu selama periode tertentu.

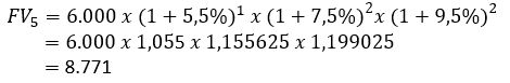
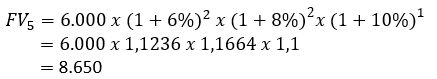
Sebagai contoh pada Mr.A memilki kelebihan kas sebesar USD 15.000,- dan berencana melakukan investasi.  Dari kelebihan kas yang dimilikinya, porsi sebesar 40% atau sebesar USD 6.000,- rencananya akan digunakan untuk investasi selama 5 tahun. Mr A Dihadapkan pada 2 Investasi dengan tingkat bunga yang berbeda yaitu Invetasi X dan Investasi Y.

 Pada Investasi X, tingkat bunga yang ditawarkan berbeda-beda dalam beberapa tahun mendatang yakni pada tahun ke 1 dan ke 2 tingkat bunga masing-masing sebesar 6%, pada tahun ke 3 dan ke 4 masing -- masing sebesar 8% dan pada tahun ke 5 sebesar 10%. Sementara itu pada Investasi Y, tingkat bunga yang ditawarkan yaitu pada tahun ke 1 sebesar 5,5%, pada tahun ke 2 & ke 3 sebesar 7,5%, pada tahun ke 4 & ke 5 sebesar 9,5%. Mr.A akan melakukan perbandingan antar Investasi X & Y, sebelum memberikan keputusan mengenai rencana investasinya, sebagai berikut;

2-png-5f413a88097f362ec838e536.png
2-png-5f413a88097f362ec838e536.png
Gambar 2 : Investasi X & Perhitungannya
Gambar 2 : Investasi X & Perhitungannya
Pada gambar 2 diatas diketahui bahwa pada tahun ke 5 jumlah uang sebesar USD 6.000,- saaat ini akan bernilai sebesar USD 8.650. Terdapat penambahan sebesar USD 2.650,- dari jumlah uang saat ini seebsar USD 6.000,-. Hal ini disebabkan oleh tingkat bunga yang diberikan pada setiap tahun selama 5 tahun. Sebagai penjelasan tambahan angka (1+6%)2 merupakan Future Value Factor, dimana 6% merupakan tingakat bunga (i) yang ditawarkan pada tahun ke 1 dan ke 2 dan Pangkat 2 (^2) mewakili jumlah atau frekuensi pemberian bunga (n). Pada tahu per ke 1 dan ke 2, bunga diberikan satu kali per tahun, sehingga pada untuk tahun 1 dan 2, frekuensi pemberian bunga menjadi 2 kali. Future value factor ini menjadi salah satu pertimbangan bagi Mr. A (Investor) untuk melakukan investasi.

3-png-5f413add097f367966650322.png
3-png-5f413add097f367966650322.png
Gambar 3 : Investasi Y & Perhitungannya
Gambar 3 : Investasi Y & Perhitungannya
Pada gambar 3 diketahui bahwa pada tahun ke 5 jumlah uang sebesar USD 6.000,- saaat ini akan bernilai sebesar USD 8.771. Terdapat penambahan sebesar USD 2.771,- dari jumlah uang saat ini seebsar USD 6.000,-. Hal ini disebabkan oleh tingkat bunga yang diberikan pada setiap tahun selama 5 tahun dan penjelasan mengenai tingkat bunga serta periode bunga, sama seperti pada invetasi X.

HALAMAN :
  1. 1
  2. 2
  3. 3
Mohon tunggu...

Lihat Konten Financial Selengkapnya
Lihat Financial Selengkapnya
Beri Komentar
Berkomentarlah secara bijaksana dan bertanggung jawab. Komentar sepenuhnya menjadi tanggung jawab komentator seperti diatur dalam UU ITE

Belum ada komentar. Jadilah yang pertama untuk memberikan komentar!
LAPORKAN KONTEN
Alasan
Laporkan Konten
Laporkan Akun